Contoh Soalan Kompleks
A short summary of this paper. CONTOH FORMAT SURAT PENGESAHAN MAJIKAN KEPALA SURAT SYARIKAT No.
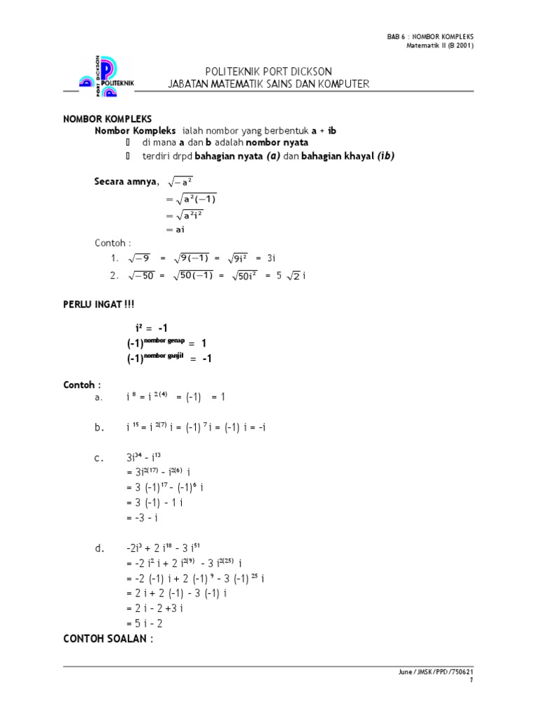
Complex Number Revision 2 Math2ever Place To Learn Basic Mathematics
1 jalan padungan 93100 kuching sarawak.
. Carousel Karusel a Soalan ditampaldiletakkan di sekeliling bilik b Murid dikehendaki bergerak dalam kumpulan dari satu soalan ke satu soalan yang lain dengan menunggu arahan guru sebelum bergerak c Semua murid mesti bergerak ke setiap tempat yang diletakkan soalan. Sabah dan wp labuan. Kompleks Pejabat Kerajaan Daerah Temerloh 28000 Temerloh Pahang Darul Makmur.
Remaja sebenarnya mampu memainkan peranan berkesan asalkan mempunyai kesedaran alam sekitar yang tinggi dan mempunya iltizam serta rasartanggungjawab untuk. ID Pengguna No SSM. Ahli dewan undangan negeri.
BAYARAN CUKAI TANAH SECARA ONLINE. 09 290 1313 No. Microtia atresia anotia Treacher Collins Goldenhar syndrome etc.
32 Full PDFs related to this paper. Pusat Khidmat Hasil Hulu Langat No. Aras 1 menara hasil no.
Peribahasa Melayu menyatakan hendak seribu daya tak hendak seribu dalih. Timbalan menteri besar kelantan. Categories contoh borang keberhasilan guru Tags 3 Fakta Penting Contoh Borang Keberhasialn Guru BORANG KEBERHASILAN GURU 2021MUAT TURUN CARA ISI SEMAKAN.
Sebagai contoh tekanan bekalan air ini memang telah menganggu rutin. Ahli majlis mesyuarat kerajaan. SEMAKAN CUKAI TANAH DAN CUKAI PETAK.
Download Full PDF Package. Terhad di kedua-dua belah mata. Sebagai contoh tekanan bekalan air harian di Jalan Thamby Kechil ini memang sangat rendah dan tidak cukup bagi penduduk di setempat.
Full PDF Package Download Full PDF Package. 41 43 Jalan Melati 319 Bandar Malawati 45000 Kuala Selangor Selangor. Aras 6 Kompleks Kementerian Komunikasi dan Multimedia Lot 4G9 Persiaran Perdana Presint 4 Pusat Pentadbiran Kerajaan Persekutuan 62100 Putrajaya Malaysia.
Jalan tuanku abdul halim. Bagi soalan 8 semua responden 100 bersetuju bahawa makanan segera disediakan di kantin SMJK Yu HuaMakanan segera seperti bebola nuget dan sosej telah disediakan di kantin SMJK Yu Hua untuk menaikkan selera pelajar ketika makan di kantin. 0 20 40 60 80 100 Soalan 1 Soalan 2 Soalan 3 Soalan 4 Mengenal pasti jenis-jenis.
Sistem ePROPER merupakan sistem yang dibangunkan oleh Suruhanjaya Perkhidmatan Pendidikan SPP bagi membolehkan Ketua Jabatan di semua peringkat agensi di bawah Kementerian Pendidikan Malaysia KPM untuk memperakukan secara dalam talian bagi urusan perkhidmatan yang berkaitan dengan Pengesahan Pelantikan Tetap PPT Pelanjutan Tempoh. ARAS 4 BLOK E12 KOMPLEKS E PUSAT PENTADBIRAN KERAJAAN PERSEKUTUAN 62604 WILAYAH PERSEKUTUAN PUTRAJAYA. 73 Tingkat 3 Kompleks Perhentian Kajang Jalan Reko 43000 Kajang Selangor Pusat Khidmat Hasil Kuala Selangor Pusat Khidmat Hasil Kuala SelangorNo.
Penglihatan lebih teruk daripada 618 tetapi sama dengan atau lebih baik daripada 360 walaupun dengan menggunakan alat bantu penglihatan atau medan penglihatan kurang. Dengan ini gangguan bekalan air ini memang membawa implikasi yang banyak kepada penduduk setempat. Soalan Lazim MyDaftarOKU Peta Laman.
CONTOH FORM STANDAR PENILAIAN KINERJA KARYAWAN. Apabila membicarakan tentang teknologi hijau kedengarannya teknologi ini agak kompleks dan mencabar untuk direalisaikan. No15 Tingkat 7 Podium Pusat Pentadbiran Kerajaan Persekutuan.
Murid diminta berbincang atau menulis jawapan mereka dalam kertas d Cara yang lain murid duduk. Peta laman laman utama. Catuan air juga akan terlaku sebulan sekali.
03-8884 7294 7287 72884. PEMBAYARAN ATAS TALIAN ONLINE PAYMENT Sila layari httpsehasilselangorgovmy untuk membuat semakan dan bayaran cukai tanah dan petak melalui Financial Process Exchange FPX 2. Tingkat bawah menara hasil jalan tuanku abdul rahman 88600 kota kinabalu sabah sarawak.
1 Jun 2022 - Kunjungan Hormat TYT Takahashi Katsuhiko Duta Besar Jepun Ke Malaysia Kepada YBhg Dato Sri Mohd Shafiq bin Abdullah Ketua Pengarah Perkhidmatan Awam. Contoh Surat Pengesahan Majikan Bagi Pendatang Tanpa Izin. Ketua Pengarah Imigresen Malaysia Jabatan Imigresen Malaysia.
Modul GMGM2013 Organisasi dan Masyarakat. Saksama Iltizam Bermutu Fair Commitment Quality No. 09 296 4963 Alamat Emel.


No comments for "Contoh Soalan Kompleks"
Post a Comment